Regression analysis
After the regression analysis is performed, the FACTOR and P-VALUE columns are populated with the results and the metric formula is displayed at the bottom of the page.
The p-value for each term tests the null hypothesis that the coefficient is equal to zero (no effect). A low p-value (< 0.05) indicates that you can reject the null hypothesis. In other words, a predictor that has a low p-value is likely to be a meaningful addition to your regression analysis because changes in the predictor's value are related to changes in the response variable.
Conversely, a larger (insignificant) p-value suggests that changes in the predictor are not associated with changes in the response. The p-values over 0.05 are colored red.
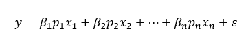
The following linear regression formula is used:

where:
- y: Target metric to be predicted
-
ßi: Regression coefficients (Factor)
-
pi: Insight parameters
-
xi: Source metric values
-
Ɛ: Free coefficient
You can analyze the results and decide which metrics to exclude from the analysis, remove them from the list (or add new ones) and run the analysis as many times as required. You can also manually change the factor if required.
Use the Analyze result tab to see the regression model coefficients.
R is the correlation between the predicted values and observed values of Y.
R2 is the measure that indicates how well the regression metric can be forecast using the regression model. In general, the higher the R2 value is, the better the model fits your data.
F is the value of the Fisher statistics.
Significance F shows the probability that the equation does not explain the variation in y, or that any fit is purely by chance. This is based on the F probability distribution. If the Significance F is not less than 0.1 (10%), you do not have a meaningful correlation.
Observations is the amount of data that was analyzed.
Free coefficient p-value is used to estimate the model quality.